참 오랜만에 글을 올립니다. 24년 11월에 올리고 처음이니 14개월은 되었네요. 그동안 계속 약을 바꾸고 늘려가면서 맞는것을 찾았습니다. 그리고 적당히 견딜만한 정도의 약을 찾아내고 그렇게 또 6개월을 지냈습니다. 중간에 시험삼아 약을 줄여봤더니 다음날 바로 통증이 작렬하는 것으로 보아 약은 치료보다는 통증을 없애고 있을뿐 이란걸 알았죠. 물론 통증만 없어도 살만하고, 잠도 잘 수 있으니 살아가는데는 지장없을 것 같습니다. 여전히 아직 예고없이 푹푹- 들어와 비명지르는 통증들이 나타나긴 합니다. 지하철이나 버스안에서 그런 일 생기면 대략 난감 하죠... ;;
오늘은 평형상태도(Equilibrium Phase Diagram)에 대한 이야기를 해보려고 합니다. 사실 박막 이야기를 시작할때 부터 상태도 이야기는 꼭 하고 싶어 했는데, 기회만 보며 우물쭈물 하다가 이렇게나 시간이 지나버렸습니다. 평형상태도는 특정한 온도, 압력, 조성의 조건하에서 물질의 평형상태는 어떤가를 나타낸 도표로, 주어진 조건에서 어느 물질이 어떤 상태로 존재하는 것이 안정한지를 나타내 줍니다. 재료를 다루는 사람이라면 이건 그야말로 미친듯이 중요한, 가장 기본적인 것이기도 합니다. 간혹 상태도를 그림이라 생각하는 학생들이 있는데, 상태도는 단순한 그림이 아니라 특정한 계산값이 x축과 y축에 정교하게 위치한 점을 연결한 그래프입니다.
평형상태도는 매우 많은 열역학적 자료들이 모아져 그려진 도표로, 활용도가 대단히 넓고 깊습니다. 조건이 하나 있는데, 그 대상이 되는 계(system)은 ‘평형’에 있다는 가정이 있어야 합니다. 그래서 말 그대로 ‘평형상태도’입니다. 기본적으로는 어떠한 물질이 용융된 상태에서 응고되고 상온에 이르기까지 상태변화를 나타내고, 평형적으로 존재하는 물질의 영역이 어느 정도인지를 보여줍니다. 그리고 시간축이 없기 때문에 지금 당장은 아니더라도, 무한대의 시간이 걸리더라도 이런 상태로 존재하는 것이 안정하고 반응이 진행될것이라는 것을 말해줍니다. 그래서 실제 현상과는 조금 다른 값을 보여주기도 합니다.
상당수 실험실에서는 여러 물질에 대한 상태도를 직접 실험적으로 그려낼 수 있을 겁니다. 물(H2O)만 하더라도 온도를 올려가거나 내려가며 쉽게 응고점과 끓는점을 찾아낼 수 있으며, 녹는점이 낮은 금속인 납(Pb)이나 주석(Sn)등을 전기로 내에서 용융시킨 뒤 온도를 내리면 해당 금속의 응고점도 찾아낼 수 있습니다. 여기서 납과 주석을 일정비율로 섞어가며 실험을 반복하면 합금의 응고시작점 등을 찾아낼 수 있어 Pb-Sn의 2성분계 상태도를 그릴 수 있습니다. 물론 대부분의 재료들은 실험보다 주어진 열역학적 자료들을 사용하여 계산한 값으로 정확히 그려내는 것이 선호됩니다.
상태도는 한마디로 열역학 입니다. 위에도 언급했듯이 열역학적 데이터들을 모아 보기쉽게 그래프로 그려낸 것이죠. 그래서 우리는 열역학 제 1법칙으로 시작해야 합니다. 모두가 알고 있겠지만 열역학 제 1법칙은 다음으로 매우 간단히 표현됩니다.

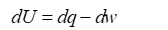
이 식에서 ΔU는 내부에너지의 변화 입니다. 내부에너지는 주어진 계안의 모든 원자, 이온, 분자들의 운동에너지와 위치에너지의 총 합입니다. 우리는 이 값을 정확히 측정할 수는 없지만 얼마나 변화했는가는 알수있죠. 그래서 어느 기준값을 정해서 0 으로 세팅하고, 그 값과 차이가 얼마나 나는지 상대적인 값을 계산합니다. q는 계와 주위 사이에 나타난 열량교환이고, w는 계에, 또는 계에 의해 행해진 일을 나타냅니다. 그래서 식의 의미를 본다면 어떤 계의 안으로 열량 q가 들어오고, 그 열을 이용해서 일 w를 하는 겁니다. 계를 기준으로 열은 계로 들어왔으니 (+)의 값을, 일은 해서 그만큼 손실이 있으니 (-)값을 가집니다. 간혹 자료에서 일 w의 앞 부호가 - 가 아닌 + 로 된 자료들이 있는데, 이 경우 w 값 자체가 (-)를 갖기 때문이지 별다른 의미는 아닙니다. 내부에너지가 미량 변화한다고 하면,

우리는 dU = dq - dw 라는 식 형태를 그대로 사용하진 않고 좀더 사용하기 편한 식으로 변환을 시킬 겁니다. 먼저 일(w)을 생각해 봅시다. 여기서는 일반물리 상식을 약간 가져오는데요, 일반물리에서 일은 어느 물체를 힘 F로 거리 d 만큼 이동시켰을때, F와 d의 곱을 말합니다.

열역학 법칙에서 일은 주로 기체를 갖고 설명을 합니다. 그래서 이상기체방정식인 PV = nRT 를 적용해서 설명하는 부분도 많긴 합니다.

위 그림 왼쪽은 어느 원형 실린더 내에 기체가 들어있고, 기체가 빠져나가지 못하게 막이 있으며 그 위에 물체 M이 놓여 기체에 압력(P)을 가하고 있는 그림입니다. 그리고 오른쪽 그림은 기체에 열(q)을 가해 기체가 팽창하면서 물체 M을 위로 h 만큼 밀어 올린 상태입니다. 압력(P)은 힘(F)를 면적(A)로 나눈 것이므로(P = F/A), 일(w) = F × d 에서, w = (P × A) × d 가 되겠고, 거리 d 는 높이 h 와 같으니,

단면적 A와 높이 h 의 곱은 부피(V)가 되므로, 일 w는 주어진 압력과 팽창으로 인한 부피변화의 곱인 P × ΔV 로 표현할 수 있습니다. 그래서,

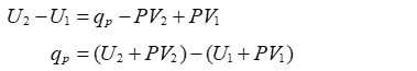
여기서 우리가 많이 알고있는 엔탈피(Enthalpy)를 정의하고 가야 합니다. 압력 P가 고정된 상태인 등압에서, 어떤 상태 1이 상태 2로 변화한다고 가정합니다. 그러면 내부에너지 변화는,


(q2 – q1)는 압력이 일정할 때 계에 더해진 열인데, 이것을 qp로 놓아봅시다.

위 식에서 (U+PV)가 바로 엔탈피 H 입니다. 즉 엔탈피는 내부에너지 U에 (압력x부피)를 더한 것을 말합니다. 그리고 식에 의해, 엔탈피 H는 열량 q와도 같습니다.
그리고 여기서 또 열역학 제 2법칙인 엔트로피 관계식을 가져옵시다. 열역학 제 1법칙인 ΔU = q-w 에서 ΔU = 0 이라면 q = w 가 됩니다. 즉, 열은 일로 모두 바뀌어야만 하지만 100% 변환되는 일이 나타나지 않습니다. 열역학 제 1법칙 만으로는 설명 불가능한 현상이 있고, 이것을 설명하기 위한 또 다른 법칙이 필요해졌죠. 그것이 엔트로피 법칙 입니다. 당연히 엔트로피에 대한 이야기를 열역학에서는 빼놓을 수 없지만 지금 엔트로피에 대한 이야기를 하는곳은 아니므로 주어진 식만 갖고 오겠습니다. 고전열역학의 창시자라 불리는 독일의 클라우지우스(Clausius)는 어떠한 일 없이 저온에서 고온의 물체로 열이 이동하는 것은 불가능하다며 엔트로피라는 개념을 만들어 내는데, 엔트로피를 다음과 같이 정의합니다.

중요하다고 떠드는것에 비해서는 놀랄 정도로 엄청나게 간단한 식인데요, 이것이 나타내는 것은 어떤 값이라기 보다는 어떠한 현상이 일어날 것인가 아닌가의 가능성의 문제에 가깝습니다. 그래서 후에 볼츠만의 통계역학적 해석도 등장하죠(S = kBlnΩ). 엔트로피 식은 다음과 같이 변형될 수 있습니다.

이 식을 앞의 열역학 제 1법칙과 합치면,

이제 우리는 그 유명한 깁스자유에너지(Gibbs Free Energy)를 끌고 옵니다. 우리가 보는 대부분의 반응은 일정한 온도 T와 일정한 압력 P 에서 나타납니다. 그래서 온도와 압력이 일정할때 평형은 어떻게 나타나는지에 대한 기준이 필요해졌죠. 그래서 도입된 것이 깁스자유에너지이며, 이것은 화학반응이 진행되는 동안 사용되거나 방출되는 에너지의 총량을 나타내줄 수 있습니다. 깁스자유에너지 G는 다음 식으로 정의합니다.

딱 봐도 무슨 의미인지 알 것 같습니다. 엔탈피는 열량이고, 부호는 (+)이므로 계에 주어진 에너지입니다. 그리고 엔트로피가 (-)값이죠. 그러니까 주어진 에너지에서 쓸모없는 것들을 뺀, 사용 가능한 에너지를 말합니다. 앞에서 엔탈피 H = U + PV 이므로, 자유에너지 G는 다음과 같습니다.

위 식을 살짝 미분해 볼까요.

식에서, 압력이 변화하거나(dP) 온도가 변화하면(dT) 자유에너지 G값이 같이 변화하는 것을 알수있습니다. 즉, 어떠한 상태 1에서 2로 변화하면 자유에너지는 변화하기 마련입니다. 어느 반응에서 자유에너지 변화가 없다면(dG = 0), 이때 계의 자유에너지 G는 최소가 되고, 계는 평형상태가 될겁니다. 그리고 겨우 이제서야, 제가 말하고 싶은 시작에 도달했습니다. 바로 dP와 dT. 압력과 온도의 변화. 이것이 시작인 것은, 우리는 압력과 온도가 변화하는 그래프를 이미 알고있기 때문입니다.

H2O의 1성분계 상태도. 뭐 대충 이렇게 생겨먹은거 보신적 있을거임.
네. 모르는 사람이 없는 H2O의 1성분계 상태도 입니다. X축은 압력, Y축은 온도로, 2개의 조건이 변화함에 따라서 H2O의 상(phase)이 어떻게 변화하는 지, 두 상이 공존하는 평형(dG=0)의 위치는 어디인지를 명확하게 알 수 있습니다(이런 단일 물질로 된 1성분계 상태도는 사실 H2O나 탄소(C) 정도가 아니면 찾아보기 대단히 어렵습니다). 그리고 이제 우리는 저 상태도에서 자유에너지 값을 뽑아낼 수 있습니다. 어느 물질에서의 압력과 온도의 변화, 즉 자유에너지의 변화를 나타낸 그림이 바로 상태도가 되기 때문입니다.
생각해 봅시다. 변화하는 값이 압력(P), 온도(T), 자유에너지(G)의 3개가 있으니 그래프는 3개의 축이 필요하겠죠. 그래서 다음처럼 3차원으로 나타낼 수 있습니다. 이것을 흔히 G-P-T 공간(space)라고 부릅니다.

G-P-T space
만약 어떠한 계, 또는 하나의 단일 물질이 고상, 액상, 기상으로 이루어져 있다고 해봅시다. 그렇다면 그중에 고상의 자유에너지 값은 온도가 변화하거나, 압력의 변화에 의해 만들어 지면서 G-P-T 공간의 어떠한 면으로 표현 됩니다. z=f(x,y) 형태의 3차원 그래프가 되지 않나 싶네요.

3차원에서 자유에너지가 변화하는 값은 면으로 나타나요
그리고 액상에서도 마찬가지로 자유에너지가 변화하는 면이 하나 나올 것이고, 기체도 하나 나올테니 모두 3개의 면이 존재하게 됩니다. 이 자유에너지 면들은 서로 모두 수평이 아닌 이상 어딘가에서는 만나서 교차하게 되는데, 두 면이 교차하는 곳은 선으로 나타나죠.

두 자유에너지 면들이 교차해서 만들어지는 P-T line (A상과 B상의 dG = 0 이 되는 곳)
그렇게 두면이 교차하며 생긴 선(직선은 아닐겁니다)은 2개의 상이 공존하는 평형상태(두 상 사이의 dG = 0)를 의미합니다. 그래서 고상-액상, 고상-기상, 액상-기상의 경계를 가진, 3개의 평형을 나타내는 선이 G-P-T 공간에 만들어집니다.

A-C, B-C, C-D 의 3개의 평형을 나타내는 그래프
그런 뒤 이 선들을 G-P-T 공간에서 바닥의 P-T 면에 그대로 투영(projection)시킵니다.

P-T 면에 projection!!!
이제 G 축을 없애고 보기 좋게 앞으로 세워보면, 드디어 우리가 아는 형태의 1성분계 P-T 평형상태도가 등장합니다. 그리고 어느 물질에 대한 상태도 그래프는 용융엔탈피를 알고있으면 Clausius-Clapeyron 식을 이용해서도 정확하게 계산해 그릴 수 있습니다.

열역학 제 1법칙으로 부터 자유에너지까지 힘들게 달려와서 완성된 1성분계 상태도
위는 이해를 돕기위한 그림 일 뿐, 실제 고상-액상의 경계, 고상-기상의 경계에서 A' 이나 B' 처럼 중간에서 멈추지는 않습니다.
H2O, CO2, NH3 등은 액상-기상의 경계에서 D'처럼 멈추는 점(critical point)이 존재합니다.
말씀 드렸듯이 상태도는 어떤 물질에 대해 대단히 많은 열역학적 정보를 보여주는 그래프로, 다양한 부분에서 매우 유용하게 사용됩니다. 학생들이 실험할 때, 왜 이 물질을 선택했냐고 물었는데 대답못하는 경우를 흔히 봅니다. 시편의 열처리 온도가 왜 그 온도인지 모르는 경우도 흔히 봅니다. 가장 많은 대답은 ‘선배가 그렇게 하라고 해서’죠. 그러면 안됩니다 ㅜㅜ ... 최소한 본인이 만드는 박막이나 사용하는 시편에서 상변화 온도같은 기본적인 물성은 알고있길 바랍니다.
너무 오랜만에 글을 올렸더니 내가 본래 이렇게 재미없게 글을 썼었나 싶군요.
다음에는 아주 간단하게 2성분계 상태도를 그려봅시다. - _-y~
...by 개날연..
방학 끝나가는데.. 아직 못놀았는데.. ㅠㅠ
글 : 개날라리연구원
그림 : 개날라리연구원
업로드 : 개날라리연구원
발행한곳 : 개날라리연구소
........ - _-y~
'플라즈마와 박막프로세스 > Supplement' 카테고리의 다른 글
| RF 스퍼터링(RF Sputtering)..#4. 자기바이어스(Self Bias)효과 2 (31) | 2019.10.07 |
|---|---|
| 플로팅 전위(Floating Potential) & 양극성 확산(Ambipolar Diffusion) (51) | 2015.09.03 |
| 플라즈마 진동(Plasma Oscillation) (4) | 2015.08.09 |
| 핵생성 자유에너지 ΔG에 관한 지극히 할일없는 고찰 (12) | 2015.05.07 |
| ITO - Indium Tin Oxide - 의 전기전도 (83) | 2015.02.07 |