책의 190 페이지에서, v''을 미분방정식으로 풀면 속도 v는 이렇게 된다고 표현된 것이 있습니다. 책에서는 중간과정을 굳이 다 나타낼 필요는 없다고 생각해서 생략했습니다. 사실 자료들을 찾아보시면 상당수 자료에서도 그냥 이 공식을 쓴다고만 나와있는, 그냥 일반적으로 사용하는 식이기도 하기 때문입니다. 지난 글에서 간혹 중간과정에 대해 궁금증을 갖는 학생이 있다면 교수님께 물어보는게 좋다고 말을 했는데요... 그냥 제가 만들어서 올려봅니다. ㅠㅠ
최대한 간략하게(?) 설명해보겠습니다.
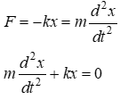
뉴턴의 제 2 운동법칙 F=ma 에서 가속도 a는 속도 v를 미분한 것입니다. 그리고 속도 v는 변위 x를 시간으로 미분한 (dx/dt)이므로 이렇게 표현할 수 있습니다.

여기서 힘 F를 위치 x 와 상수 k로 표현하여 F = -kx 라 놓으면,

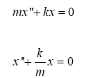
k는 스프링상수라고 부르는 값입니다. 가속도인 (d2x/dt2)를 x''으로 표현해서 놓으면, 다음의 형태로 바뀝니다.

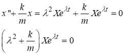
위 방정식에서 x는 지수함수의 해를 가지게 되는데, x를 구하는 방법은 아래의 순서를 따라가면 됩니다. 먼저 미분방정식의 기본 형태는 이렇습니다.

-f(t)=a라 놓아줍시다. 여기서 a는 가속도가 아닌 상수입니다.

이러한 방법에 의해 x''+(k/m)x=0는 아래와 같은 형태의 해를 갖게 됩니다.

X는 시간 t에 무관한 문제의 초기조건에 의해 결정되는 값이고, x의 해를 앞의 식에 대입하면,

X ≠ 0 이므로,

여기서 (k/m)1/2를 ω(진동수)라 놓으면, x는 다음의 2가지로 표현되고 두 해는 독립적입니다.

그래서 일반해는 두 해의 조합이며, 시간 t에 따른 입자의 위치 x는 이렇게 됩니다.

여기에 오일러공식(Euler's formula)인 eix=cos(x)+isin(x) 를 적용하면

X1과 X2는 임의의 상수 이므로, 다음과 같이 놓을 수 있습니다.

이것이 식 x''+(k/m)x=0의 일반해가 됩니다. 이것을 그대로 써도 되지만, 이걸 좀 더 간략화 해서 사용하기도 합니다. (A2+B2)1/2 =C , tan α=B/A 라 놓으면

x(t)에 A, B를 대입하면,

그런데, 삼각함수의 합성에서 cos(a)cos(b)-sin(a)sin(b)=cos(a+b) 이므로, α의 값에 따라 일반해를 다음처럼 놓을 수 있습니다.

그런데 여러분들이 많은 자료들을 본다면 어느 자료는 cos(ωt-Φ)로, 어느 자료는 cos(ωt+Φ)로 나와있다는 것을 알 수 있을 겁니다. 본래 삼각함수의 합성법칙에 따라서만 풀이한다면 cos(ωt-Φ)의 형태가 나오지만, 위에 언급한것 처럼 α의 값에 따라 달라지므로 cos(ωt+Φ)의 형태로도 나타낼 수 있기 때문입니다.
그리고 지금까지의 전개에서 변위 x를 속도 v로 바꾸면 190페이지에 나온 vx를 얻을 수 있습니다.

참고로 위 식은 속도를 두 번 미분한 v'' 로부터 끌어낸 값인데, 속도를 한 번 미분한 v'이 가속도 a이고, 두 번 미분한 v''는 '가가속도'라고 하며 j로 표기합니다. 세 번 미분하면 가가가속도고 s로 표현하죠. 아니 이 미친놈아, 그럼 속도를 네 번 미분하면 가가가가속도겠네?
네… 그거 맞습니다. c로 표기합니다. -_ -

글 : 개날라리연구원
그림 : 개날라리연구원
업로드 : 개날라리연구원
발행한곳 : 개날라리연구소
........ - _-y~
'플라즈마와 박막프로세스 > 책(박막과 스퍼터링 공정)' 카테고리의 다른 글
| RF 주파수와 이온의 충돌에너지 (45) | 2024.01.05 |
|---|---|
| 합금 및 화합물 타겟으로 만든 박막의 조성 (39) | 2023.10.22 |
| 책에 나온 수학 및 한글 표현에 관하여 (0) | 2023.10.03 |
| 긴급 추가 인쇄 들어갑니다. (60) | 2023.09.25 |
| 책은 곧 품절될 것 같습니다 (10) | 2023.09.22 |